拆解并探讨GB 5700-2023里Ei公式
更新时间:2024-09-24 11:25:35 点击次数:
一、公式分析
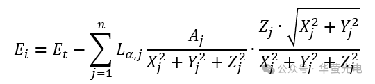
在GB 5700-2023 6.5.1.6a(以下称“标准”),观察者眼睛收到的间接照度按下式计算:
其中,
——观察者眼睛接收到的总照度,可由照度计在观察者眼睛位置测量
——观察者眼睛接收到的间接照度,等于总照度
减去灯具的直接照度
,即:
也就是说
其中,
——灯具的发光面积
——灯具相对于观察者眼睛的三维坐标,见图1
图1
二、公式拆解
现在我们来拆解。去掉脚标
,经过数学变换得到:
结合图2,有:
——灯具在观察者眼睛的投影面积
——灯具与观察者眼睛的距离
投影面积除以距离的平方是灯具在观察眼睛的立体角
——余弦特性
所以计算式可以拆解为三部分:
至此,标准的简化为:
三、公式里的余弦特性
根据照度第二定律:物体表面上的照度跟光线的入射角的余弦成正比。计算灯具在观察者眼睛表面的直接照度时,入射角是灯具入射光线和视线的夹角。由图2可知,视线方向是
,灯具入射光线是
,入射角对应图2中的
。
而标准中的是灯具入射光线在视线平面内的投影
和灯具入射光线
的夹角,也就是说标准计算得到的不是灯具在观察者眼睛表面的照度。
对此,您怎么看?请在留言区留下您的宝贵意见。
附和
的计算式和几何图
图2
笔者水平有限,错误和疏漏之处难免,请您不吝指正。知识和经验的价值在于被更多的人知道,乐于与您分享我们了解的眩光知识和经验。
黄艳珊 13418996291
深圳华萤光电技术有限公司
- 上一条夜空亮度及其测量
- 下一条关于背景亮度和间接照度转换系数π

